珍本圣经数位典藏

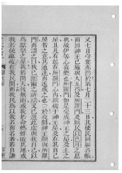
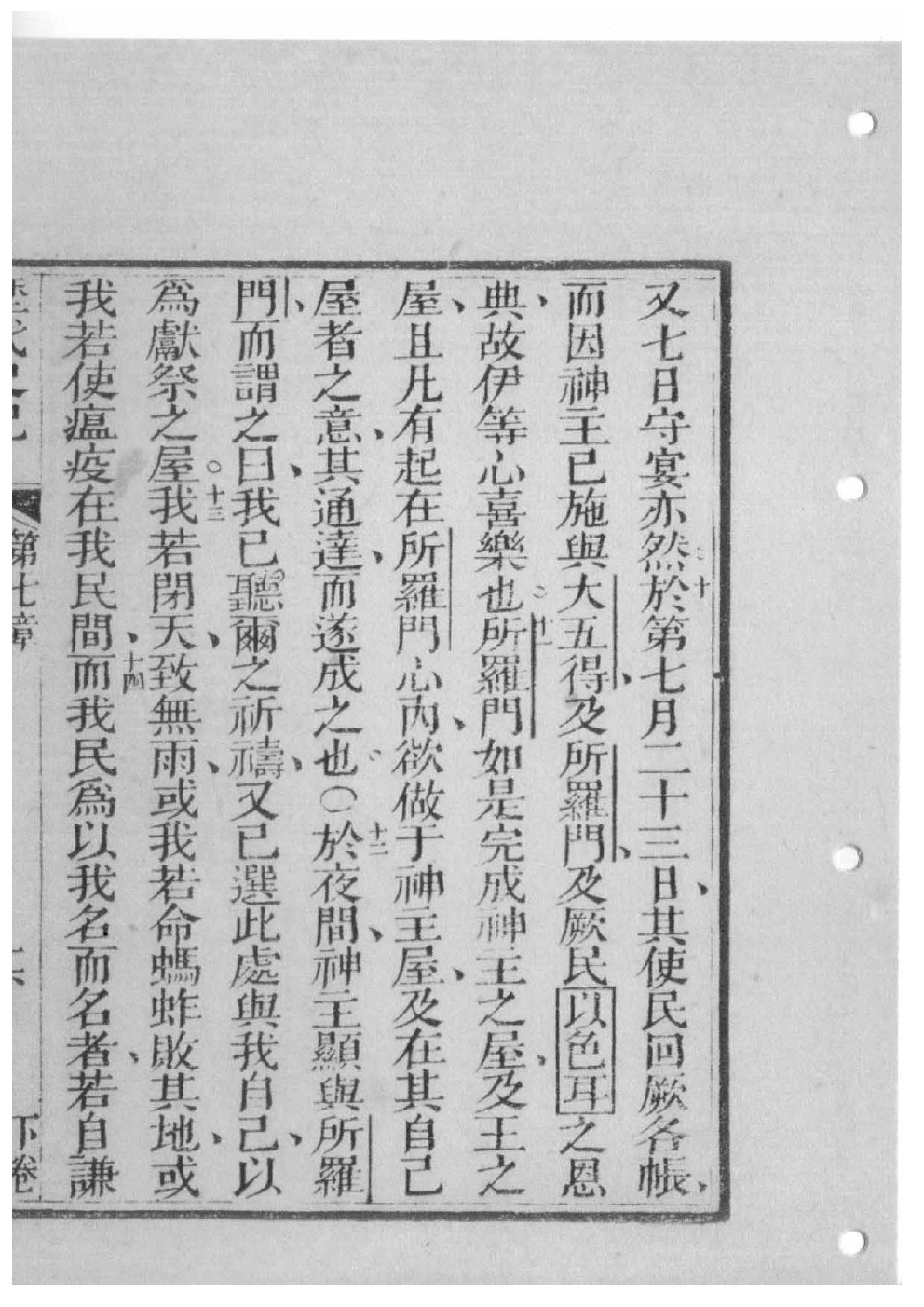
1823年神天圣书 历代志下 7 章 10 节到 7 章 14 节

(按图可以看高解析度照片) 封面 上一页 下一页 回珍本圣经数位典藏计划首页

回珍本圣经数位典藏计划首页