珍本聖經數位典藏

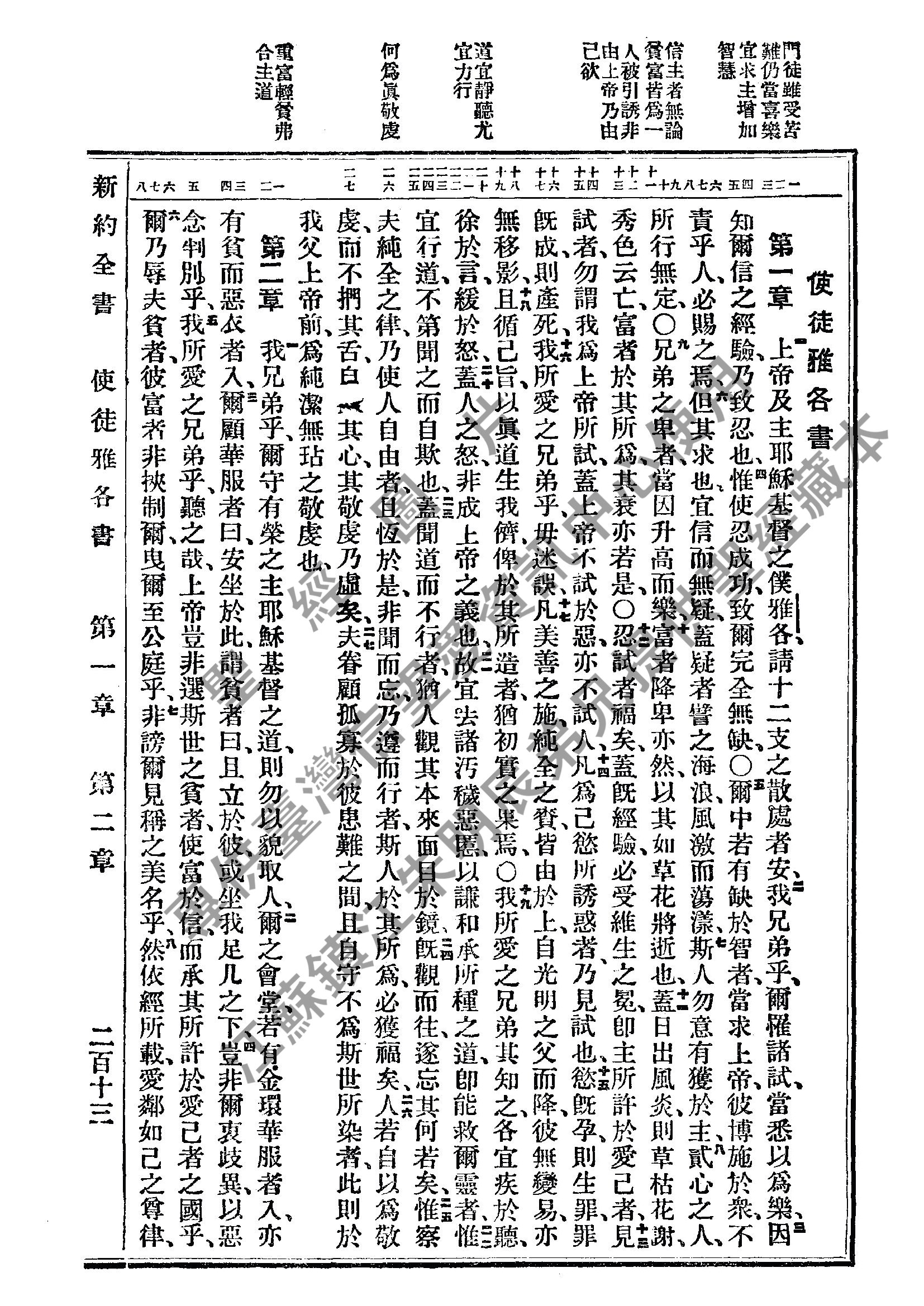
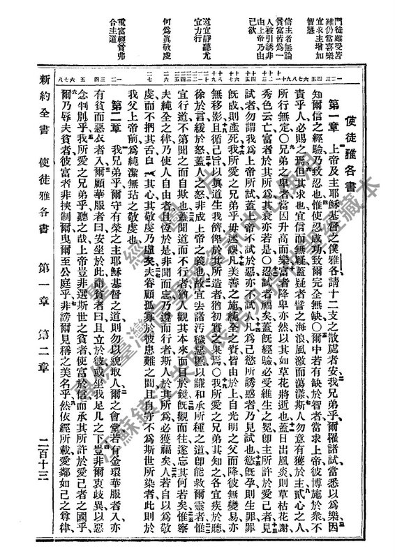
1934年新舊約全書(文理和合本) 雅各書 1 章 到 2 章

(按圖可以看高解析度照片) 封面 上一頁 下一頁 回珍本聖經數位典藏計劃首頁

回珍本聖經數位典藏計劃首頁