珍本聖經數位典藏

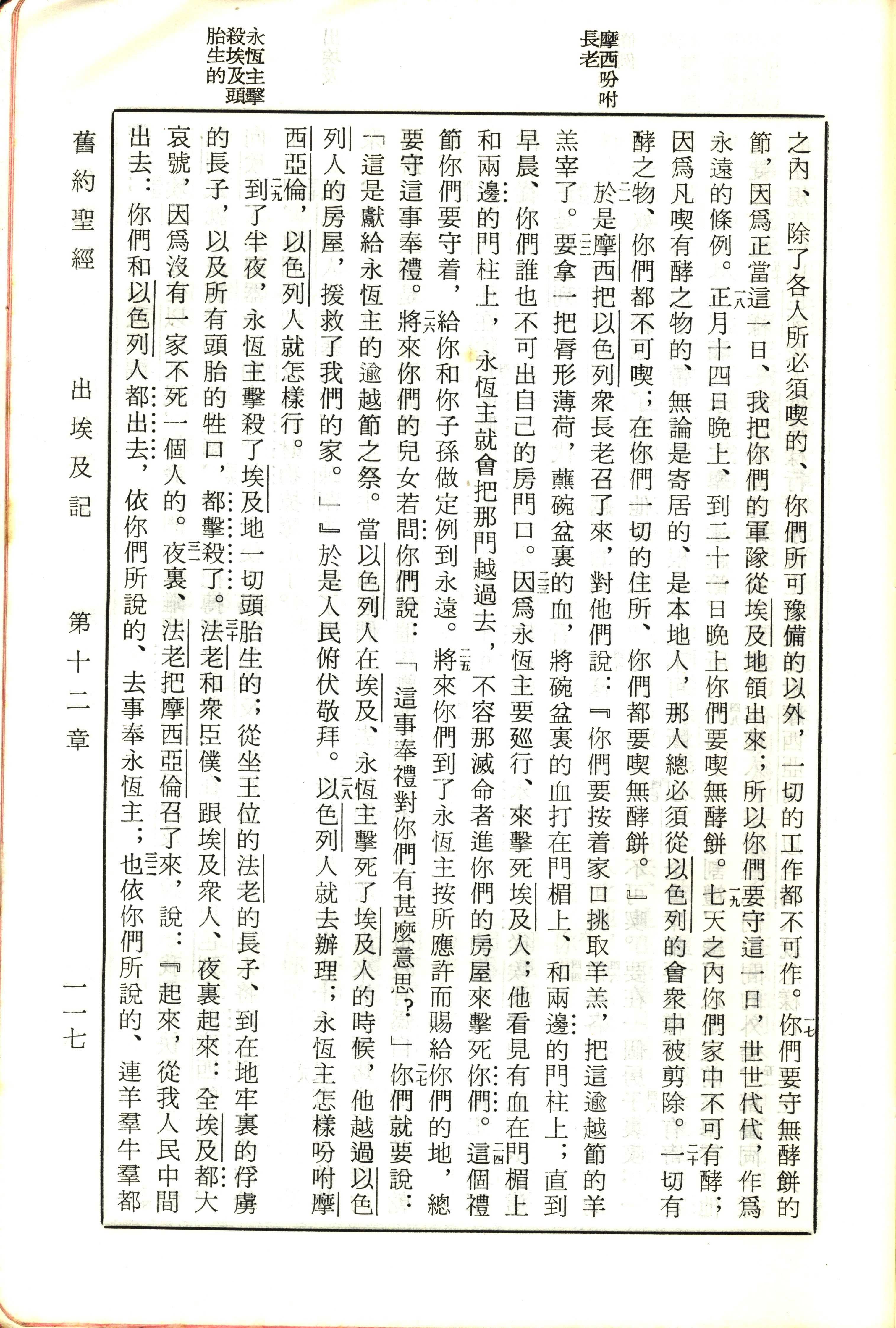
1970年新舊約全書(呂振中譯本) 出埃及記 12 章 17 節到 12 章 32 節

(按圖可以看高解析度照片) 封面 上一頁 下一頁 回珍本聖經數位典藏計劃首頁

回珍本聖經數位典藏計劃首頁