珍本聖經數位典藏

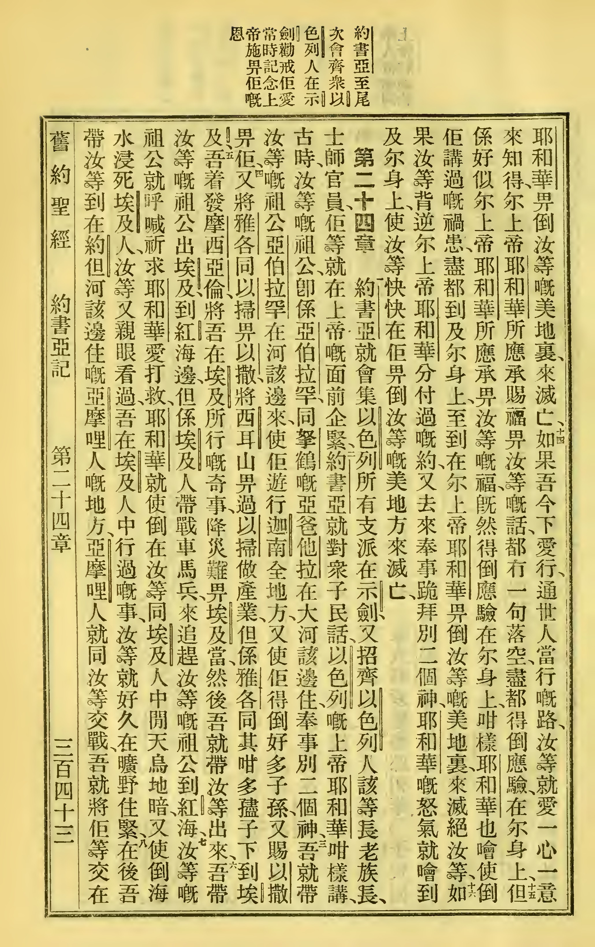
1923年聖經全書 約書亞記 23 章 14 節到 24 章 8 節

(按圖可以看高解析度照片) 封面 上一頁 下一頁 回珍本聖經數位典藏計劃首頁

回珍本聖經數位典藏計劃首頁